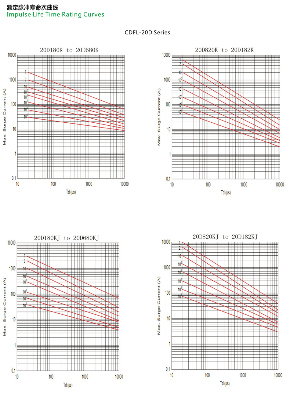
MOV VARISTOR >>SPecification>> 05D | 07D | 10D | 14D | 20D | 25D

>